Plotting the data#

The following jupyter notebooks provide some examples of how to use ogstools to create all different kinds of plots.

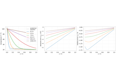
How to compare results with reference data or an analytical solution

How to compare results with reference data or an analytical solution

How to create Animations

How to create Animations

Aspect ratios

Aspect ratios

Visualizing 2D model data

Visualizing 2D model data

Visualizing 3D model data

Visualizing 3D model data

How to plot data at observation points

How to plot data at observation points

Shared axes

Shared axes

How to Create Time Slices

How to Create Time Slices

Plotting different process variables on already existing Matplotlib figures / axes

Plotting different process variables on already existing Matplotlib figures / axes