Post-processing: reading and analyzing the data#

Aggregation of Meshseries Data

Aggregation of Meshseries Data

Calculate differences between meshes

Calculate differences between meshes

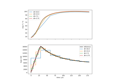
Spatial & temporal refinement - nuclear decay

Spatial & temporal refinement - nuclear decay

Spatial refinement - steady state diffusion

Spatial refinement - steady state diffusion

Analyzing integration point data

Analyzing integration point data

Plotting nuclear waste heat over time

Plotting nuclear waste heat over time

Plot data of a sampling lines

Plot data of a sampling lines

Variable presets and data transformation

Variable presets and data transformation